https://doi.org/10.35381/e.k.v7i14.4260
Evaluación de la satisfacción estudiantil en los programas de posgrado: Universidad Estatal Amazónica, Ecuador
Evaluation of student satisfaction in graduate programs: Universidad Estatal Amazónica, Ecuador
Karina María Elena Carrera-Sánchez
Universidad Estatal Amazónica, Puyo, Pastaza
Ecuador
https://orcid.org/0000-0003-1438-4466
Dunia Chávez-Esponda
Universidad Estatal Amazónica, Puyo, Pastaza
Ecuador
https://orcid.org/0000-0003-2736-6072
Sandra Luisa Soria-Re
Universidad Estatal Amazónica, Puyo, Pastaza
Ecuador
https://orcid.org/0000-0002-5480-0869
David Sancho-Aguilera
Universidad Estatal Amazónica, Puyo, Pastaza
Ecuador
https://orcid.org/0000-0001-5625-4198
Recepción: 10 de marzo 2024
Revisado: 15 de mayo 2024
Aprobación: 15 de junio 2024
Publicado: 01 de julio 2024
RESUMEN
El presente artículo tuvo como propósito evaluar la satisfacción estudiantil en los programas de posgrado, específicamente, en la Universidad Estatal Amazónica de Ecuador. En cuanto a la metodología, el estudio se llevó a cabo bajo un enfoque cuantitativo de tipo descriptivo. Como técnica se empleó la encuesta y como instrumento se empleó el cuestionario, teniendo como base la Encuesta Nacional Multipropósito de Hogares que realiza el Instituto Nacional de Estadística y Censos. La muestra fue seleccionada mediante un diseño muestral estratificado, quedando conformada por 229 egresados de los programas de posgrado de la UEA. Los resultados resaltaron una escala positiva, en el grado de satisfacción de los estudiantes al estudiar su postgrado en la universidad. Por ende, se concluyó que en la universidad se ha percibido un proceso formativo de calidad y una buena formación en valores, lo cual ha contribuido al desarrollo del país y de las organizaciones.
Descriptores: Evaluación; satisfacción estudiantil; programas de postgrado; calidad educativa; formación en valores. (Tesauro UNESCO).
ABSTRACT
The purpose of this article was to evaluate student satisfaction in graduate programs, specifically at the Universidad Estatal Amazónica in Ecuador. In terms of methodology, the study was carried out under a descriptive quantitative approach. A survey was used as a technique and a questionnaire was used as an instrument, based on the National Multipurpose Household Survey conducted by the National Institute of Statistics and Census. The sample was selected by means of a stratified sample design, and consisted of 229 graduates of the graduate programs of the UEA. The results highlighted a positive scale in the degree of satisfaction of the students with their graduate studies at the university. Therefore, it was concluded that the university has been perceived as a quality formative process and a good formation in values, which has contributed to the development of the country and the organizations.
Descriptors: Evaluation; student satisfaction; graduate programs; educational quality; values formation. (UNESCO Thesaurus).
INTRODUCCIÓN
La satisfacción estudiantil en los programas de posgrado constituye un aspecto fundamental para garantizar la calidad educativa y el éxito académico. Campos et al. (2021) expresan que “la satisfacción estudiantil es una percepción de placer o de rechazo con respecto a las expectativas que se tienen de un objeto, proceso o resultado” (p. 518). Para Surdez et al. (2018), “valorar la satisfacción estudiantil contribuye a tomar decisiones acertadas en la gestión orientada a la calidad universitaria” (p. 9). En la educación superior, especialmente en el nivel de posgrado, los estudiantes tienen expectativas más altas en términos de formación, desarrollo profesional y apoyo institucional, lo que convierte su satisfacción en una herramienta clave para el mejoramiento continuo. Según Raza (2022), las evaluaciones permiten conocer aquellos aspectos que requieren ser tratados, a fin de lograr tal mejora continua.
Según Cruz y Ponce (2019), “la calidad de la educación superior en Ecuador está direccionada como política de Estado, con sentido estratégico y técnico, a través de los procesos de acreditación institucional, articulados en el marco legal de la Ley de Educación Superior” (p. 82). Por esta razón, según Restrepo y Navío (2016), es importante “atender a la voz directa de los implicados para matizar las necesidades” (p. 201). En este contexto, la Universidad Estatal Amazónica (UEA) de Ecuador se enfrenta al desafío de atender las necesidades y expectativas de sus estudiantes de posgrado, quienes esperan una formación académica de excelencia, en un entorno que favorezca su crecimiento profesional.
Cardoso y Cerecedo (2011) expresan que “la calidad educativa se entiende como la síntesis de atributos que posee una institución o programa educativo” (p. 70). Para Núñez et al. (2021), “en Ecuador, el enfoque en la calidad en la educación superior es reciente y el tema de la satisfacción de los estudiantes no se ha profundizado” (p. 13). Por este motivo, a través de la evaluación, se busca identificar áreas de fortaleza y posibles puntos críticos que puedan ser optimizados. Romero (2021) expresa que “en el significado de calidad se enfatiza a la satisfacción estudiantil, la cual siempre debe ser atendida midiéndola oportunamente en el ámbito de carreras profesionales y programas de posgrados” (p. 8). En este sentido, de acuerdo con Peña et al. (2024), “la Universidad Nacional y, particularmente, la escuela de posgrado, tienen la tarea de brindar un servicio de calidad que genere satisfacción entre sus estudiantes. Esto es fundamental para mejorar la calidad de los programas de posgrado” (p. 1).
Desde esta perspectiva, la evaluación de la satisfacción estudiantil es una herramienta indispensable para garantizar el éxito de las instituciones de educación superior, ya que permite medir la calidad percibida de los programas académicos, desde la perspectiva de sus principales beneficiarios: los estudiantes. Álvarez (2021), en los resultados de su estudio, concibió que “los estudiantes que calificaron la calidad percibida de los servicios como “alta” fueron los que más satisfechos estuvieron con dichos servicios educativos” (p. 29). Para Mireles y García (2022), “la satisfacción es el estado placentero que tiene la o el individuo al sentir cubiertas sus expectativas; en el ámbito estudiantil refiere al nivel de bienestar que las y los estudiantes perciben al cubrir sus expectativas y necesidades académicas” (p. 1).
En el caso de los programas de posgrado, la evaluación adquiere una relevancia especial, debido a las elevadas expectativas en cuanto a la profundización del conocimiento, el desarrollo de competencias profesionales avanzadas y el acceso a recursos que faciliten la investigación y el aprendizaje. La Universidad Estatal Amazónica (UEA), situada en una región clave de Ecuador, ofrece programas de posgrado diseñados para responder a las demandas académicas y profesionales de un entorno en constante evolución.
Este estudio persigue, entre otros aspectos, analizar detalladamente el nivel de satisfacción de los estudiantes de posgrado de la UEA, con un enfoque destinado a la calidad del cuerpo docente, a la estructura, a la pertinencia de los planes de estudio, así como también a la infraestructura, a los recursos disponibles, y al apoyo institucional, tanto académico como administrativo. De este modo, la investigación no solo busca identificar fortalezas y debilidades en estos ámbitos, sino también establecer correlaciones entre la satisfacción estudiantil y factores como el desempeño académico, la retención de estudiantes y su integración en el mercado laboral. Durán (2016) manifiesta que “la docencia y la investigación deben estrechar lazos para proporcionar experiencias significativas que contribuyan con la transformación del proceso de enseñanza” (p. 535).
Por otro lado, Elizalde et al. (2024) afirman que todo profesional debe ser formado para el cambio gestado en las sociedades. Esto se debe a ciertos aspectos descritos por León et al. (2023), quienes manifiestan que “la globalización, la digitalización y las cambiantes expectativas de los estudiantes y la sociedad en general imponen necesidades únicas a las instituciones educativas” (p. 211). Por tanto, la importancia de este estudio radica en su capacidad para proporcionar información valiosa a la universidad, que podrá utilizarse para mejorar la planificación de los programas de posgrado, implementar políticas de mejora continua y asegurar que la oferta educativa se mantenga alineada con las necesidades de los estudiantes y las demandas del entorno profesional.
Además, los resultados de esta investigación serán de utilidad para generar estrategias que contribuyan a aumentar la satisfacción y el éxito de los futuros egresados, consolidando a la UEA como una institución referente en la región amazónica y en el ámbito de la educación superior en Ecuador.
El seguimiento a graduados provee de resultados sobre la calidad de su formación, la influencia en su desempeño profesional y laboral y el nivel de satisfacción de los mismos con la formación recibida, entre otros. La Universidad Estatal Amazónica, a través del Decanato de Posgrado, con el propósito de evaluar la satisfacción como resultado de la experiencia académica vivida, de los servicios otorgados y de las actividades desarrolladas durante su permanencia en los programas de maestría de posgrado de la UEA, aplica la encuesta en formato digital a los egresados.
Todo ello, representa una información de gran utilidad para las propuestas de planes de acción, como la mejora de la malla curricular, así como de los procesos de formación formal e informal a tener en cuenta en la conformación de dichos planes. Los aspectos evaluados fueron los siguientes: datos del estudiante de maestría, status de la maestría, relación de la maestría y/o doctorado con el trabajo profesional, satisfacción con los profesores del posgrado, satisfacción sobre la promoción de la investigación, satisfacción con los ambientes educativos, satisfacción con el apoyo administrativo y satisfacción en general.
En atención a lo antes expuesto, este estudio tuvo como objetivo evaluar la satisfacción de los estudiantes de posgrado de la UEA en relación con factores como la calidad docente, el diseño y pertinencia de los programas académicos, los recursos tecnológicos y bibliográficos, y el acompañamiento administrativo.
Además, se exploró el impacto de estos aspectos en la motivación, el rendimiento académico y la proyección profesional de los estudiantes. De esta manera, los resultados obtenidos sirvieron como base para proponer estrategias en pro del incremento de la satisfacción estudiantil, la optimización de los programas académicos y el desarrollo de una oferta educativa competitiva en la región amazónica de Ecuador.

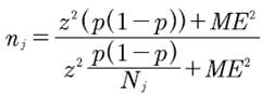
Donde:
Nj: número de estudiantes egresados en el programa j
nj: muestra mínima requerida para el programa j
ME: margen de error
p: probabilidad con la que los estudiantes del programa están satisfechos con la formación recibida
z: valor asociado al nivel de confianza del 95%
De la fórmula anterior, se obtuvo el tamaño de muestra requerido para cada programa de maestría, quedando de la siguiente manera: maestría en Agroindustria (59 egresados), maestría en Agronomía (61 egresados), maestría en Ingeniería Ambiental (22 egresados), maestría en Silvicultura (45 egresados) y maestría en Turismo (42 egresados), lo cual proporcionó un total de tamaño de muestra n = 229 egresados de los programas de posgrado de la UEA.
El cuestionario propuesto recogió las necesidades de información para la acreditación institucional, así como de los programas académicos en cuanto a la caracterización de los estudiantes y su satisfacción con el programa académico y con la universidad. Además, se previó incluir aspectos que pudieran ser parte de una futura encuesta de egresados de posgrado. Para la elaboración de las preguntas se tuvieron en cuenta también otras fuentes de referencia: la Encuesta Nacional Multipropósito de Hogares que realiza el Instituto Nacional de Estadística y Censos (INEC), los formularios de seguimiento a graduados de pregrado y los lineamientos de acreditación institucional propuestos por el Consejo de Aseguramiento de la Calidad en la Educación Superior.
El instrumento estuvo conformado por 46 preguntas, agrupadas en los siguientes módulos:
1. Datos del estudiante de maestría (ocho preguntas).
2. Status de la maestría (dos preguntas).
3. Relación de la maestría con el trabajo profesional (tres preguntas).
4. Satisfacción con los profesores de posgrado (cinco preguntas).
5. Satisfacción sobre la promoción de la investigación (cinco preguntas).
6. Satisfacción con los ambientes educativos, maestría presencial (siete preguntas).
7. Satisfacción con los ambientes educativos, maestría en línea (tres preguntas).
8. Satisfacción con el apoyo administrativo (siete preguntas).
9. Satisfacción en general (seis preguntas).
Sin embargo, los resultados se presentan con base en la generalidad de las respuestas, a fin de mostrar una síntesis de ellas en cada módulo. Las opciones de respuesta fueron con base en una escala de Likert, las cuales se mencionan a continuación: MS = Muy satisfecho S = Satisfecho I = Insatisfecho MI = Muy insatisfecho NR=No sabe no responde.
La encuesta fue voluntaria y anónima, por lo que no incluía preguntas que permitieran reconocer a la persona que la respondió.
Tal como se expuso en la metodología, los resultados son sintetizados de acuerdo a los siguientes módulos: datos del estudiante de maestría, status de la maestría, relación de la maestría con el trabajo profesional, satisfacción con los profesores de posgrado, satisfacción sobre la promoción de la investigación, maestría presencial (satisfacción con los ambientes educativos), maestría en línea (satisfacción con los ambientes educativos), satisfacción con el apoyo administrativo y satisfacción en general.
Datos del estudiante de maestría
En cuanto a la distribución por género se determinó que la presencia relativa de hombres fue mayor en forma general (52%), observándose la presencia de hombres en mayor proporción en los programas de maestría en Agronomía e Ingeniería Ambiental; siendo las mujeres (48%) mayormente representativas en los programas de Agroindustria, Silvicultura y Turismo.
En cuanto al lugar de nacimiento, se aprecia que, el 64,2% de los estudiantes de posgrado que respondieron la encuesta, proceden de 22 de las 24 provincias del Ecuador; se registraron alumnos de todas las provincias amazónicas, el 33,2% nacieron en la provincia de Pastaza (ciudad donde radica el campus principal de la UEA), y el 2,6% es extranjero.
En relación con la edad de los estudiantes de posgrado, cuatro son los grupos de edad donde se concentra la mayor cantidad de estudiantes de posgrado; las edades del 26,2% de los estudiantes oscilan de 36 a 40 años, el 25,8% de los estudiantes se encuentra entre los 31 a 35 años, el 24,5% supera los 41 años, el 21,0% tiene edades que oscilan entre los 26 a 30 años y el 2,6% posee edades entre los 20 y 25 años. Esta información sugiere que los estudiantes, al disponer de un trabajo, capacidad económica y, por ende, mayor edad, son capaces de atender las exigencias de los estudios de posgrado, por lo que podrán contar con grados académicos que les brinden nuevas competencias para su mejor desenvolvimiento profesional.
Status de la maestría
Con relación a los estudios de posgrado que seleccionaron los estudiantes, se pudo determinar que del total de la muestra evaluada, el 26,6% escogió el programa de Agronomía, el 25,8% se inclinó por la maestría en Agroindustria, el 19,7% estudió Silvicultura, el 18,3% seleccionó la maestría en Turismo y, finalmente, el 9,6% participó en el programa de maestría en Ingeniería Ambiental.
Relación de la maestría con el trabajo profesional
Del total de estudiantes encuestados, el 52,8% manifestó que los programas de maestría están totalmente de acuerdo con su actividad profesional y el trabajo que desempeñan; el 24,9% de los profesionales respondió que se relaciona un poco y el 6,1% señaló que el programa de posgrado que escogió no se encuentra relacionado con el empleo en el cual se desempeñan.
Al preguntar a los estudiantes si, durante el desarrollo de las asignaturas, pudieron percibir que los profesores desarrollaron las competencias de sus profesiones y del perfil de la maestría, el 58,1% mencionó que los temas contribuyeron totalmente y mejoraron su competencia profesional, el 26,6% mencionó que un poco y el 2,2% consideró que los temas no contribuyeron en nada ni mejoraron sus competencias profesionales.
Con estos resultados, se puede deducir que la mayoría de los estudiantes reconocieron que los profesores de las diversas asignaturas desarrollaron las competencias de los perfiles del posgrado que estudiaron. Los estudiantes encuestados manifestaron que los estudios de posgrado mejoraron su situación laboral actual en un 51,1%, el 24,9% señaló que su estatus laboral mejoró un poco, mientras que solo un 10,0 % manifestó que no se produjo tal beneficio.
Satisfacción con los profesores de posgrado
Al analizar la pregunta sobre qué tan satisfecho se encontraban con la enseñanza brindada por los profesores, se pudo apreciar que el mayor porcentaje de respuestas se ubicó en las categorías muy satisfecho y satisfecho, con valores de 40,3 y 52,3% respectivamente, destacándose en estos criterios la enseñanza impartida por los profesores de las maestría en Agroindustria, con un total de 24,5% para las dos categorías y en Agronomía 24,4%, seguidas por el proceso de enseñanza por parte de los profesores de las maestrías en Silvicultura (19,2%), Turismo (15,3%) e Ingeniería Ambiental (9,2%).
Es importante mencionar que la maestría en Ingeniería Ambiental obtuvo comparativamente un menor porcentaje de respuestas, debido a que es un programa nuevo con una sola cohorte, por lo tanto, el 9,2% no implicó la falta de satisfacción hacia los profesores ni mala calidad de estos. Sin embargo, hay que prestar atención a que el 6,1% de graduados de los programas de maestría reportaron: su insatisfacción en un (4%) y estar muy insatisfechos en un (2,1%), junto a un 1,3% de indecisión en las respuestas, siendo el programa con porcentajes ligeramente superiores de insatisfacción el de Turismo.
Las categorías muy satisfecho y satisfecho entre los programas de Agroindustria y Agronomía aportaron 50%, seguido por el de Silvicultura, Turismo e Ingeniería Ambiental. Cabe destacar también que, el menor porcentaje de satisfacción del programa de Ingeniería Ambiental no estuvo dado por falta de dominio y actualidad de los conocimientos de sus docentes, sino porque se evaluó a la primera cohorte, proporcionalmente, con un menor número de graduados de este programa de maestría. Por otro lado, se lograron resumir los niveles de satisfacción con respecto a la pregunta sobre: si los profesores poseían una buena metodología de enseñanza; destacándose que el 51,1% de los encuestados seleccionó el rango satisfechos, seguidos por el 38,5% en la categoría de muy satisfecho, porcentajes que totalizan el 89,6% de respuestas favorables.
Los programas de maestría mantienen el posicionamiento de respuesta, empezando con Agroindustria y Agronomía, le siguen Silvicultura y Turismo y en último lugar se encuentra la maestría de Ingeniería Ambiental que, como ya se ha indicado, es un programa nuevo y su primera cohorte fue virtual. Se debe considerar, sobre la metodología, que el rango de insatisfacción e indecisión llega al 10,4%, por lo que posiblemente sea la variable en la cual se deban tomar correctivos.
En cuanto al uso de recursos TIC adecuados, se desprendió que, en los cinco programas de maestría, el 90,1% de los graduados se ubicó en los rangos satisfecho (49%) y muy satisfecho (41,1%), con el uso de las TIC.
En relación con la pregunta sobre si los profesores han mostrado accesibilidad e interés por los temas de los estudiantes, se detectó una respuesta muy favorable, pues el valor porcentual con respecto al rango muy satisfecho (46,3%), superó ligeramente al de satisfecho (44,2%) y entre estos dos parámetros de satisfacción representaron el 90,5% de las respuestas obtenidas. En esta variable se puede apreciar también que es el programa de maestría en Agronomía (25%), el que presenta el primer lugar, seguido por Agroindustria (23,6%) y Turismo (15,3%), considerando el rango muy satisfecho y satisfecho, seguido de los programas de maestría en Silvicultura e Ingeniería Ambiental, cuyos porcentajes de satisfecho superan a los de muy satisfecho y totalizan 18,3 y 8,3% respectivamente. Se hace esta separación para distinguir las sutilezas en la interrelación profesor-maestrante en el proceso de enseñanza aprendizaje. El porcentaje de insatisfacción, junto a los que no saben, no responden, alcanza un 9,5%.
Satisfacción sobre la promoción de la investigación

Figura 1. Los profesores son investigadores y dominan la metodología.
Elaboración: Los autores.
En la figura 1 se presenta la satisfacción de los graduados con respecto al rol de los profesores como investigadores y conocedores de la metodología, de la cual se desprendió que, el rango muy satisfecho para esta variable destaca a los profesores de las maestrías en Agroindustria (13,1%) y Silvicultura (10,9%); les siguen las de Agronomía (12,7%), Turismo (7,8%) e Ingeniería Ambiental (5,2%), ubicando la respuesta en el segundo rango, equivalente a Satisfactorio. Para Cardoso et al. (2013) los “profesores le dan importancia al desarrollo de proyectos de investigación que les permitan avanzar en el conocimiento científico y a la publicación de sus resultados” (p. 43).
Con este antecedente, la satisfacción total, considerando los rangos Muy satisfecho y Satisfecho, registró un total de 91,1%, desglosado en orden decreciente para las maestrías de Agroindustria (25,3%), Agronomía (24,5%), Silvicultura (18,7%), Turismo (14,8%) e Ingeniería Ambiental (7,8%), sin discriminar en este, que los docentes no fomenten la investigación desde el aula.
Además, la investigación formativa y la de titulación tuvieron peculiaridades en cada una de las maestrías, al asumir trabajos de laboratorio, de campo, investigación aplicada o de corte social, según los intereses de los maestrantes y/o graduados de cuarto nivel, sin olvidar que los programas de maestrías de la UEA son profesionalizantes.
Las respuestas de insatisfacción registran un total de (8,9%), distribuidas en todos los programas en las siguientes escalas: insatisfecho (6,9%), muy insatisfecho (0,8%) y no sabe no responde (1,2%). Estas respuestas pueden estar asociadas a los costos de investigación, a la extensión en tiempo de algunos procesos de investigación y a las dificultades que se presentan en todos los programas de cuarto nivel.
Los programas de posgrado de la Universidad Estatal Amazónica fueron diseñados para tener dos modalidades de titulación: la primera como Proyecto de Titulación y la segunda como artículo profesional de alto nivel. La selección de la modalidad de titulación se realiza al ingresar a la Unidad de Titulación.
Al analizar las respuestas de los graduados sobre la satisfacción de la promoción para la producción de artículos científicos, se encontró un porcentaje alto de satisfacción que ascendió al 86,5%, valor que se desglosó de la siguiente manera: respuestas favorables para el rango muy satisfecho y que alcanzaron al rango satisfecho, se encontraron en los programas de maestría en Agroindustria con 13,1%, seguidos por Agronomía 12,7% y Turismo con 7,9%. Se registró mayor porcentaje de respuestas en el rango satisfecho para Silvicultura con el 10,5% e Ingeniería Ambiental con el 4,4%.
En términos generales, para la satisfacción, considerando la sumatoria de los rangos muy satisfecho y satisfecho, se destacó en primer lugar Agronomía con 24,5%, seguido por Agroindustria 23,1%, Silvicultura con 16,6%, Turismo con 15,3% y, finalmente, Ingeniería Ambiental con el 7%, por haberse analizado sólo la primera cohorte en este programa. Con relación a la insatisfacción, se registra un 13,5% acumulado, divididos en 8,7% para Insatisfecho, 4% para Muy insatisfecho y 0,8% para el rango No sabe no responde, dispersos en todos los programas.
El tema de aceptación y/o publicación de los artículos científicos depende de las políticas editoriales de las revistas; sin embargo, los docentes y los programas de maestría apoyan a los graduados que optan por esta posibilidad que, como parte de la socialización, les indican cómo pasar a la prórroga si el tiempo no es suficiente para lograr la publicación. Los profesores del posgrado también acompañan a los graduados en la publicación post graduación, para que los temas investigados sean publicados.
Al indagar sobre la contribución que el proyecto de titulación desarrollado tuvo frente al país y/o a la empresa en la que se han desenvuelto los investigadores, se apreció que el porcentaje de respuestas en el rango muy satisfecho superó al rango de satisfecho en todos los programas, destacando el porcentaje para la satisfacción acumulada (89,6%), la cual se distribuyó en los cinco programas de maestría de la siguiente manera: Agronomía (24,9%), Agroindustria (21%), Silvicultura (17,9%), Turismo (16,2%) e Ingeniería Ambiental (9,6%), por lo que se detectó que los graduados están mayoritariamente satisfechos con los proyectos de titulación desarrollados, condición asociada al interés, esfuerzo y satisfacción personal expresados en sus proyectos.
Satisfacción con los ambientes educativos (programa de maestría presencial)

Figura 2. Aulas suficientemente cómodas por programa de maestría.
Elaboración: Los autores.
La opinión de los estudiantes del posgrado en la figura 2, con relación a los ambientes educativos que se han utilizado a diario, mostró los siguientes grados de satisfacción con relación a la comodidad de las aulas: para el 83,9%, las aulas han sido suficientemente cómodas, en ese sentido, calificó como muy satisfecho el 38,0% y satisfecho el 45,9%. En referencia al criterio de los egresados por programa de maestría en cuanto a si las aulas han sido lo suficientemente cómodas, se evidenció que la mayor parte de las respuestas se ubicaron en las categorías muy satisfecho y satisfecho.
En las maestrías en Agroindustria (53,0%), Ingeniería Ambiental (32,0%), Silvicultura (47,0%) y Turismo (50,1%), el criterio Satisfecho es superior al de muy satisfecho. En la maestría en Agronomía (44,3%) predominó el criterio muy satisfecho.
Es importante señalar que se necesita de un aula especializada como ambiente de aprendizaje que fortalezca las habilidades teóricas y prácticas de los estudiantes de posgrado.
Tal como se ha apreciado a lo largo de los resultados, los estudiantes del programa de maestría en Ingeniería Ambiental dieron comparativamente un menor número de respuestas, debido a que es un programa nuevo con una sola cohorte de graduados, siendo la misma desarrollada bajo la modalidad virtual debido al período de pandemia, por lo cual se observó una gran cantidad de criterios referente a No sabe no responde, pues no utilizaron aulas presenciales.
En cuanto a la pregunta de si la biblioteca virtual ha ofrecido libros y documentación actualizados, los egresados presentaron un 45.4% de satisfacción, 31.0% seleccionó la escala Muy satisfecho, 10.5% No sabe no responde, Insatisfecho el 10.0% y un 3.1% Muy insatisfecho.
Por otra parte, del total de estudiantes encuestados, el 27,5% manifestó encontrarse muy satisfecho con el acceso a las cafeterías, el 43,7% satisfechos, 13,5% insatisfechos y el 14,0% no saben, no responden, en cuanto al uso de este servicio. También se destacó que los egresados de las todas las maestrías de la UEA valoran las cafeterías en la escala satisfecho y muy satisfecho. Destacándose el valor más alto en la categoría satisfecho en todos los programas (Agroindustria 42%, Agronomía 43%, Ingeniería Ambiental 36%, Silvicultura 47% y Turismo 48%). La cantidad que seleccionó muy insatisfecho fue muy baja y solo se observó en las maestrías Agroindustria, Silvicultura y Turismo.
En cuanto a los servicios higiénicos, los resultados manifestaron que, el 37,1% de los encuestados están muy satisfechos, satisfechos el 44,1% e insatisfechos el 7,0%.
Los egresados de los programas de maestrías en Agronomía (43%) y Turismo (41%) consideraron la escala muy satisfecho con respecto a si la universidad dispone de servicios higiénicos adecuados. Sin embargo, en las maestrías en Agroindustria (51%), Ingeniería Ambiental (41%) y Silvicultura (47%), se resaltó la opción satisfecho. La cantidad de muy insatisfecho fue muy baja y solo se observó en las maestrías Agronomía y Agroindustria.
Los programas de posgrado de la Universidad Estatal Amazónica fueron diseñados para tener dos modalidades, donde se incluye también la modalidad virtual.
Satisfacción con los ambientes educativos. (Programa de Maestría en línea)

Figura 3. Satisfacción con los ambientes educativos: servicios virtuales (SIAD, Moodle, Teams y otros) por programa de maestría.
Elaboración: Los autores.
De acuerdo con la figura 3, al preguntar a los estudiantes de los programas de posgrado de la UEA acerca de si los servicios virtuales (SIAD, Moodle, Teams y otros) fueron lo suficientemente útiles para el desarrollo de su programa de maestría, el 46,7% manifestó que se encontraban muy satisfechos, 38,4% satisfechos, el 7,4% indicó estar insatisfechos y un 5,7% no sabe, no responde a esta interrogante.
Asimismo, al preguntar a los estudiantes acerca de su satisfacción en cuanto a la red inalámbrica que posee la universidad, el 41,0% manifestó que se encuentran muy satisfechos, el 39,3% satisfechos, un 10,0% indicó estar insatisfecho y un 8,3% se inclinó por la opción No sabe, no responde, a esta interrogante.
Satisfacción con el apoyo administrativo

Figura 4. Satisfacción con el Decanato de Posgrado por programa de maestría.
Elaboración: Los autores.
Los resultados más relevantes de la figura 4, indicaron que, al preguntar a los estudiantes de los programas de posgrado de la UEA acerca de su grado de satisfacción con el Decanato de Posgrado, el 56,3% manifestó estar muy satisfecho, 37,2% satisfecho, un 3,9% afirmó estar insatisfechos y un 0,9% señaló que no sabe, no responde a esta interrogante.
En síntesis, los resultados más relevantes mostraron los niveles muy satisfecho y satisfecho en todos los programas, destacándose las maestrías en Agroindustria (56%), Agronomía (51%), Ingeniería Ambiental (68%), Silvicultura (64%) y Turismo (50%).
En relación a la atención en la Secretaría Académica, los resultados indicaron que destacaron los indicadores muy satisfecho y satisfecho para todos los programas de maestrías. Se apreció que en los programas de maestría Agroindustria (48%), Ingeniería Ambiental (50%) y Silvicultura ( 53%), el indicador predominante fue muy datisfecho. El programa de Agronomía concibió el mismo valor para muy satisfecho y datisfecho con un 44% y, para el programa de Posgrado en Turismo, la opción datisfecho fue señalada por el 50%. Cabe resaltar que la opción muy insatisfecho fue seleccionada por muy pocos egresados y solamente en las maestrías en Agroindustria, Silvicultura y Turismo.
La opinión de los estudiantes del posgrado con respecto a la atención recibida en Coordinación de las maestrías, reveló las escalas muy satisfecho y satisfecho en todos los programas. En la maestría en Agroindustria se apreció un (54%), en la de Agronomía un (53%), en Ingeniería Ambiental un (59%) y en Silvicultura un (69%). En Turismo, el 50% de los estudiantes se sintió satisfecho. Cabe decir que la opción muy insatisfecho fue emitida solamente por un egresado del Programa de maestría en Turismo, al igual que en la de no sabe no responde.
En lo que se refiere a la satisfacción por la atención recibida en tesorería, se evidenció que, el 40,1% seleccionó la opción muy satisfecho, satisfecho el 45,0% e insatisfechos el 8,4%. La opinión insatisfecho y muy insatisfecho fue emitida mayormente por los egresados de la maestría en Agroindustria, por lo tanto, se sugiere trabajar en este particular para mejorar el servicio a los estudiantes.
Satisfacción en general
Tabla 1.
Volvería a estudiar el posgrado en la UEA.
|
Contribución |
N° de estudiantes |
% |
|
Muy de acuerdo |
109 |
47,6 |
|
De acuerdo |
75 |
32,8 |
|
Indiferente |
17 |
7,4 |
|
En desacuerdo |
16 |
7,0 |
|
Muy en desacuerdo |
12 |
5,2 |
|
Total |
229 |
100 |
Elaboración: Los autores.
En atención a la tabla 1, del total de estudiantes egresados encuestados en los programas de maestría de la UEA, 109 estuvieron muy de acuerdo en volver a estudiar un posgrado en la universidad; 75 se mostraron de acuerdo, 17 indiferentes, 16 en desacuerdo y 12 muy en desacuerdo.
Es menester agregar que en las maestrías en Agroindustria (49%), Agronomía (41%), Silvicultura (51%) y Turismo (43 %), el criterio muy de acuerdo estuvo por encima de la opción de acuerdo. Sin embargo, en el programa de maestría en Turismo, el 43% de los estudiantes optó por la opción De acuerdo con esta interrogante. La cantidad de estudiantes en desacuerdo fue baja en todos los programas.
En cuanto a la satisfacción referente a si la formación de posgrado que recibieron fue de buena calidad, se evidenció que tanto la calificación muy de acuerdo y de acuerdo reflejaron un 42%. Se constató además que solo un 3% estuvo muy en desacuerdo. Cabe destacar que la mayoría de los encuestados corresponden a la III Cohorte de los programas Agronomía, Silvicultura, Agroindustria y Turismo. Los resultados indicaron, además, que los criterios muy de acuerdo y de acuerdo resaltaron para todos los programas de maestrías.
En lo que se refiere al incremento de las expectativas de los egresados por la contratación laboral, se constató que el 38,0% de los encuestados estuvo muy de acuerdo, el 35,0% estuvo de acuerdo y el 6,6% se mostró en desacuerdo.
Al preguntar a los estudiantes de los programas de posgrado de la UEA, acerca de si les resultaba significativo que les compararan, en términos competitivos, con otras instituciones educativas de posgrado, 92 maestrantes manifestaron estar muy de acuerdo, 88 de acuerdo y sólo 11 estudiantes se mostraron muy en desacuerdo.
En cuanto a la opinión de los egresados referente a si consideran que la formación de valores éticos y morales en los posgrados son importantes y necesarios, se evidenció un mayor porcentaje de selección en la opción muy de acuerdo con un 55,9%, el 31,4% de los egresados seleccionaron de acuerdo y otro 3,9% en desacuerdo. Cabe destacar la importancia que le dan los egresados a la formación de valores en el posgrado.
Al preguntar a los estudiantes de los programas de posgrado de la UEA acerca de si perciben contribuir con el desarrollo del país y de la empresa mediante los posgrados, 124 manifestaron estar muy de acuerdo, 69 de acuerdo y sólo 7 estudiantes se mostraron muy en desacuerdo. Vale resaltar que una gran cantidad de egresados (por encima del 80%) consideraron que con la formación del posgrado contribuyeron significativamente al desarrollo del país; de allí la importancia de mantener vigentes los programas de posgrado, como una opción de formación de cuarto nivel.
CONCLUSIONES
La encuesta aplicada arrojó, dentro de las conclusiones más importantes, con respecto a la satisfacción como resultado de la experiencia académica vivida, de los servicios otorgados y de las actividades desarrolladas durante su permanencia en los programas de maestría de posgrado en la Universidad Estatal Amazónica, las siguientes:
· Los estudiantes que egresaron de los programas de maestría de la UEA son en su mayoría hombres.
· En cuanto al lugar de nacimiento, la mayoría de los estudiantes de posgrado procede de 22 de las 24 provincias del Ecuador, sin embargo, un buen número ha nacido en la provincia de Pastaza.
· Los estudiantes encuestados, en su mayoría, se encuentran solteros.
· La edad promedio de los estudiantes de posgrado está concentrada mayoritariamente en tres grupos: de 31 a 35 años, 36 a 40 años y más de 41 años.
· La mayoría de los encuestados estudiaron el programa de Agronomía, seguidos por los de Agroindustria, Silvicultura, Turismo e Ingeniería Ambiental.
· Los encuestados reconocen que los cursos contribuyen a su mejora laboral y al desarrollo de sus competencias profesionales.
· Se constata la satisfacción con relación a los siguientes rubros de medición: enseñanza brindada por los profesores, dominio y actualidad de conocimientos, metodología de la enseñanza aplicada y aplicación de recursos TIC adecuados. Además, se muestra satisfacción en cuanto a la accesibilidad e interés de los docentes por los temas que preocupan a los estudiantes.
· Los estudiantes se encuentran muy satisfechos con el rol de los docentes como investigadores y conocedores de la metodología; además, están convencidos de que el proyecto que desarrollan contribuye al desarrollo del país. Muestran también satisfacción respecto a las líneas de investigación de posgrado, a la promoción de temas de investigación en las asignaturas y a la producción de artículos científicos.
· En cuanto a los ambientes educativos, se expresa un criterio muy satisfecho en cuanto al acceso a la red inalámbrica de la universidad y a los espacios virtuales. También se muestra satisfacción en cuanto a las aulas, biblioteca virtual, salones con equipos audiovisuales, multimedia y cafeterías.
· Las dependencias administrativas que apoyan la actividad académica tienen un amplio reconocimiento de satisfacción, específicamente, las referidas al Decanato de Posgrado, Secretaría Académica y Coordinación de los Programas. De igual manera, se evidencia satisfacción en cuanto al servicio que brinda la Tesorería, Biblioteca, Oficina TICS y Secretaría General.
· El mismo criterio positivo se expresa al considerar cursar otro posgrado en la Universidad, por cuanto reconocen la calidad de la formación que se brinda, así como las oportunidades laborales y la buena formación en valores éticos y morales. Todo ello confirma que la UEA contribuye al desarrollo del país y de las organizaciones.
FINANCIAMIENTO
No monetario.
AGRADECIMIENTOS
Gracias a los 229 egresados de los programas de posgrado de la UEA, ubicada en Ecuador, por sus meritorias contribuciones al desarrollo de esta investigación.
REFERENCIAS CONSULTADAS
Álvarez, R. (2021). Evaluación del nivel de satisfacción del estudiante respecto al servicio educativo bajo el enfoque del modelo HEDPERF en las universidades públicas que integran la Alianza Estratégica de la Universidad Peruana y que implementaron el mecanismo de licenciamiento. [Evaluation of the student satisfaction level regarding the educational service under the approach of the HEDPERF model at public universities that belong to the strategic alliance of Peruvian universities and that implemented the licensing mechanism]. Industrial Data, 24(1), 23-47. https://n9.cl/jylhm5
Campos, J., Placencia, M., Silva, J., y Zambrano, M. (2021). Perspectiva docente-estudiante sobre estrategias de enseñanza y habilidades pedagógicas constructivistas en programas de maestrías de una universidad pública peruana. [Teacher-student perspective on teaching strategies and constructivist pedagogical skills in master's programs of a Peruvian public university]. Revista de la Facultad de Medicina Humana, 21(3), 517-527. https://n9.cl/3tmo0
Cardoso, E., y Cerecedo, M. (2011). Propuesta de indicadores para evaluar la calidad de un Programa de Posgrado en Educación. [Proposal for indicators to evaluate the quality of a Postgraduate Program in Education]. REDIE. Revista Electrónica de Investigación Educativa, 13(2), 68-82. https://n9.cl/jw3cs
Cardoso, E., Cerecedo, M., y Vanegas, E. (2013). Las competencias docentes en los programas de posgrado en administración: Un estudio de diagnóstico. [Teaching skills in graduate administration programs: A diagnosis study]. Formación universitaria, 6(2), 43-50. https://n9.cl/s9hi3
Cruz, R., y Ponce, J. (2019). La acreditación y su aporte a la satisfacción estudiantil de las universidades públicas de Manabí-Ecuador. [The accreditation and its contribution to the student satisfaction of the Manabi-Ecuador public universities]. ECA Sinergia, 10(2), 82-95. https://n9.cl/w9u1t
Durán, A. (2016). Formación en competencias del docente universitario. [Training on the new university profesor competences]. Educere, 20(67), 529-538. https://n9.cl/f6gg8
Elizalde, H., Rodríguez, F., Cobos, M., y Tinoco, L. (2024). La relación del docente universitario de enfermería con los estudiantes en los hospitales docentes del Ecuador. [The relationship of the university nursing teacher with the students in the teaching hospitals of Ecuador]. Revista InveCom, 4(2), 1-16. https://n9.cl/yu5mo
León, F., Saladrigas, H., y León, F. (2023). El proceso de evaluación y acreditación institucional. Visto desde la comunicación organizacional interna. [The process of institutional evaluation and accreditation. Seen form the point of view of internal organizational communication]. Prohominum. Revista de Ciencias Sociales y Humanas, 5(4), 210-232. https://n9.cl/1wpcm
Mireles, M., y García, J. (2022). Satisfacción estudiantil en universitarios: una revisión sistemática de la literatura. [Student satisfaction in university students: a systematic review of the literature]. Revista Educación, 46(2), 1-26. https://n9.cl/9c1xh9
Núñez, C., Noboa, M., Agualongo, L., y Veloz, V. (2021). Satisfacción de los servicios académicos en la educación superior. [Satisfaction with academic services in higher education]. Revista Científica UISRAEL, 8(Supl. 1), 11-21. https://n9.cl/uis4z
Peña, C., Cosi, E., y Silarayan, L. (2024). Calidad de servicio y satisfacción del usuario en estudiantes de posgrado de una Universidad Pública de Lima. [Quality of service and user satisfaction in postgraduate students of a Public University of Lima.]. Mendive. Revista de Educación, 22(2), 1-7. https://n9.cl/lujtt
Raza, D. (2022). Satisfacción de los estudiantes en el posgrado: elementos de influencia y políticas para su mejoramiento en una universidad en Ecuador. [Graduate students' satisfaction: elements of influence and policies for its improvement in a university in Ecuador]. Revista Investigación y Negocios, 15(25), 39-52. https://n9.cl/93hqb
Restrepo, J., y Navío, A. (2016). Las competencias del docente de maestría en universidades colombianas: apreciaciones de alumnos y profesores. [The competencies of the master’s degree in Colombian universities: student and teacher evaluations]. Civilizar, 16(31), 191-204. https://n9.cl/81zpp
Romero, S. (2021). Satisfacción estudiantil en las maestrías de educación de la Universidad Nacional Mayor de San Marcos. [Student satisfaction in the master's programs of education of the Universidad Nacional Mayor de San Marcos]. Investigación Valdizana, 15(1), 7-16. https://n9.cl/93hyn
Surdez, E., Sandoval, M., y Lamoyi, C. (2018). Satisfacción estudiantil en la valoración de la calidad educativa universitaria. [Student satisfaction in an evaluation of the quality of university education]. Educación y Educadores, 21(1), 9-26. https://n9.cl/ivqe2